Hawaii Legislative History
How to Research the History of a Statute
Understanding Legislative History in the Hawaii Revised Statutes
Legislative history can be found in the source note following each section of the Hawaii Revised Statute (HRS). The information in brackets [ ] at the end of a HRS section provides the history in chronological order of when the section was enacted and amended.
Source Note Abbreviations
- L – Year of enactment in Session Laws of Hawaii
- c – Act #
- s or § – Section
- am – amended
- rep. – repealed
- gen ch – gender change
- CC – Civil Code
- PC – Penal Code
- RL – Revised Laws of Hawaii
Source Note Example
Source note for HRS 26-14.6 [L 1989, c 211, §2, etc.]
L 1989 = 1989 year Act passed; c 211 = Act 211; §2 = section 2 of the Act
Session Laws of Hawaii (SLH)
How to Find the Bill Number
Search for the Act in Session Laws of Hawaii (SLH) to find the bill number. Acts are arranged in numerical order and will provide the originating House or Senate bill number.
How to Find the Committee Report Numbers for the Bill
Use the table at end of the SLH to find the committee report numbers for the bill. The measures are normally arranged by Act or Bill number.
Tracking Amendments
Sample of Legislative History Chart
Chart showing the legislative history for section 26-14.6, Hawaii Revised Statutes.
Sample Source Note
Use the table at end of the SLH to find the committee report numbers for the bill. The measures are normally arranged by Act or Bill number.
Senate and House Journals
Contents of the Journals
Day-to-Day Proceedings
- Daily proceedings of the legislative session
- Communications received after adjournment
Appendices
- Rules of the House and Senate
- Conference Committee Reports
- Standing Committee Reports
History Sections
- Senate Concurrent Resolutions
- House Bills
- House Concurrent Resolutions
- Senate Bills
Sample Table of Contents for a Journal
Appendix and History sections are highlighted; arrows point out the Conference Committee Reports, Standing Committee Reports, House Bills, and Senate Bills.
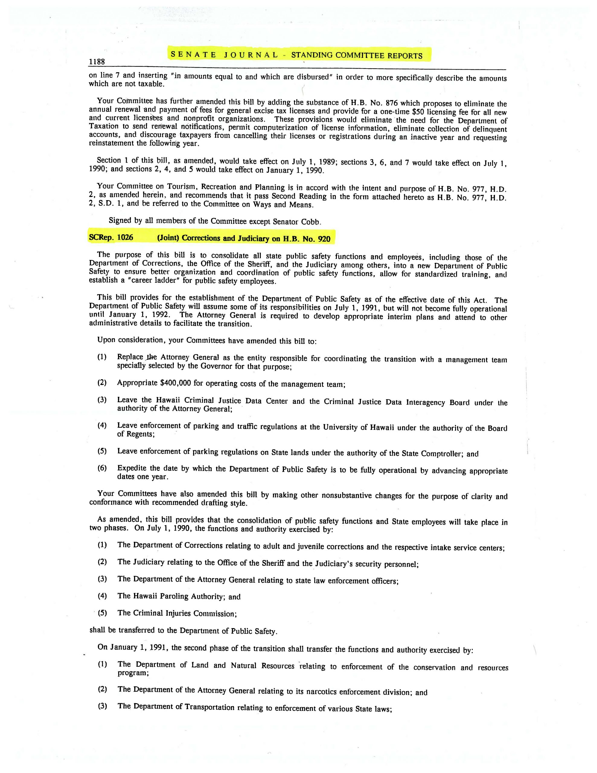
Finding Committee Reports
Find the committee reports in the House and Senate Journals. Below are three examples.
Researching Acts Prior to 1961
For Acts prior to 1961, information is not available in SLH or the Digest and Index of Laws Enacted.
Find the bill number in the History of Bills Table located in the back of the House and Senate Journals.
Check each page number referenced in the House and Senate Journals for committee report numbers mentioned.
Resources
Assistance
Should you have any questions about the legislative history process, please feel free to contact us through email [email protected] or by phone at (808) 587-0690.













